Hướng dẫn bố trí thép sàn hộp nhựa cho nhà 2 tầng đúng kỹ thuật 2026
Sàn hộp nhựa là giải pháp thi công được ứng dụng phổ biến hiện nay. Tuy nhiên, hiệu quả thực tế của giải pháp này phụ thuộc rất lớn vào cách bố trí thép sàn. Vậy đâu là nguyên tắc chuẩn khi bố trí thép? Trong bài viết dưới đây, Hải Thành sẽ hướng dẫn bạn cách bố trí thép sàn hộp nhựa nhà 2 tầng của một công trình cụ thể, giúp bạn nắm được kỹ thuật thi công thực tế nhé!
(1).jpg)
Tìm hiểu cách bố trí thép sàn hộp nhựa nhà 2 tầng
Đặc điểm kết cấu sàn hộp nhựa nhà 2 tầng
Để hiểu đúng cách bố trí thép, trước hết cần hiểu bản chất làm việc của sàn hộp nhựa. Khác với sàn đặc truyền thống, sàn hộp nhựa là dạng sàn rỗng, trong đó các hộp nhựa được đặt vào vùng trung hòa của tiết diện nhằm giảm khối lượng bê tông không tham gia chịu lực.
Điểm đặc trưng của kết cấu này là bê tông và thép chỉ tập trung tại hai vùng chịu lực chính: lớp trên và lớp dưới. Vì vậy, khi bố trí thép sàn hộp nhựa nhà 2 tầng, yêu cầu đặt ra không chỉ là đủ thép mà còn phải đúng vị trí làm việc theo nội lực.
Với nhà 2 tầng, tải trọng không quá lớn như nhà cao tầng, nhưng lại có đặc thù là nhịp sàn thường nhỏ đến trung bình, bố trí cột linh hoạt. Điều này đòi hỏi việc bố trí thép phải đảm bảo vừa đủ chịu lực, vừa tối ưu chi phí, tránh lãng phí vật liệu.
.jpg)
Kết cấu thép sàn hộp nhựa 2 tầng bao gồm lớp thép trên và lớp thép dưới
Cấu tạo thép sàn hộp nhựa nhà 2 tầng
Trong thực tế, cấu tạo thép của sàn hộp nhựa gồm ba thành phần chính: thép lớp dưới, thép lớp trên và thép gia cường.
Thép lớp dưới là lớp chịu mô men dương, thường bố trí theo hai phương vuông góc nhau. Đây là lớp thép quan trọng quyết định khả năng chịu lực tại giữa nhịp. Khi bố trí thép sàn hộp nhựa nhà 2 tầng, lớp thép này cần được đặt đúng cao độ, đảm bảo khoảng bảo vệ bê tông và không bị xô lệch khi đổ bê tông.
Thép lớp trên đóng vai trò chịu mô men âm, đặc biệt quan trọng tại vùng gần cột hoặc tường. Nhiều công trình nhà dân thường bỏ qua hoặc làm sơ sài lớp thép này, dẫn đến nứt sàn tại vị trí gối tựa. Đây là sai lầm phổ biến khi bố trí thép sàn hộp nhựa nhà 2 tầng.
Ngoài ra, thép gia cường được bố trí tại các vị trí đặc biệt như quanh lỗ mở, khu vực chịu tải tập trung hoặc vùng giao nhau giữa các nhịp. Việc bổ sung thép này giúp tăng cường khả năng phân phối nội lực và hạn chế nứt cục bộ.
.jpg)
Cấu tạo thép sàn hộp nhựa nhà 2 tầng thực tế
Nguyên tắc bố trí thép sàn hộp nhựa nhà 2 tầng
Nguyên tắc khi bố trí thép sàn hộp nhựa nhà 2 tầng bao gồm:
- Tuân thủ đúng thiết kế kết cấu: Mọi thay đổi về khoảng cách thép, đường kính hoặc vị trí đều có thể làm thay đổi khả năng chịu lực của sàn.
- Đảm bảo thép làm việc đúng vùng chịu lực: Thép lớp dưới phải nằm đúng vị trí chịu kéo tại giữa nhịp, trong khi thép lớp trên phải được gia cường tại vùng cột. Nếu đặt sai cao độ, hiệu quả chịu lực sẽ giảm đáng kể dù số lượng thép không thay đổi.
- Kiểm soát khoảng cách giữa các thanh thép: Khi khoảng cách quá lớn, bê tông dễ nứt; khi quá nhỏ, gây khó khăn trong thi công và không tối ưu chi phí. Vì vậy, trong quá trình bố trí thép sàn hộp nhựa nhà 2 tầng, cần tuân thủ đúng tiêu chuẩn về bước thép.
- Không để thép bị xô lệch trong quá trình thi công: Việc đi lại trên sàn hoặc đặt hộp nhựa sai cách có thể làm thay đổi vị trí thép, dẫn đến sai lệch kết cấu. Đây là lỗi phổ biến tại các công trình nhà dân.
- Đảm bảo sự liên kết giữa thép và bê tông: Nếu bê tông không được đầm kỹ hoặc thép bị dính bẩn, khả năng bám dính sẽ giảm, ảnh hưởng trực tiếp đến hiệu quả làm việc của sàn.
.jpg)
Các nguyên tắc khi bố trí thép sàn hộp nhựa nhà 2 tầng
>> Xem thêm: Bản vẽ kết cấu sàn hộp HTbox cho nhà ở 7 tầng tại Hải Phòng
Định mức thép sàn hộp nhựa nhà 2 tầng
Trong thực tế, định mức thép phụ thuộc vào nhịp sàn, tải trọng và phương án thiết kế. Tuy nhiên, với nhà 2 tầng thông thường, có thể tham khảo mức thép trung bình để định hướng ban đầu.
| Loại sàn | Nhịp (m) | Định mức thép (kg/m²) |
| Sàn hộp nhựa nhà 2 tầng | 3.5 – 4.5 | 18 – 25 |
| Sàn hộp nhựa nhà 2 tầng | 4.5 – 6.0 | 22 – 30 |
Cần lưu ý rằng đây chỉ là số liệu tham khảo. Việc bố trí thép sàn hộp nhựa nhà 2 tầng cần được tính toán cụ thể theo từng công trình để đảm bảo an toàn và tối ưu chi phí.
>> Xem thêm: Kỹ thuật thi công sàn hộp nhựa cho nhà hàng Tuấn Bảo tại Hải Phòng
Bố trí thép sàn hộp nhựa nhà 2 tầng tại Hải Phòng
Theo thực tế thi công, nhiều công trình nhà dân gặp lỗi do không kiểm soát tốt quá trình đặt thép và hộp nhựa. Các lỗi như thép bị xô lệch, đặt sai cao độ hoặc thiếu thép vùng cột đều có thể dẫn đến nứt sàn sau khi đưa vào sử dụng.
Tại Hải Thành, quá trình bố trí thép sàn hộp nhựa nhà 2 tầng được kiểm soát theo từng bước cụ thể. Dưới đây là hình ảnh minh họa về công trình nhà 2 tầng được Hải Thành thi công có ứng dụng sàn hộp nhựa. Hy vọng với công trình thực tế này, bạn đọc sẽ có thêm thông tin hữu ích cho công trình mình.
.jpg)
Mặt bằng định vị lớp thép dưới nhà 2 tầng tại Hải Phòng
.jpg)
Mặt bằng định vị lớp thép gia cường nhà 2 tầng tại Hải Phòng
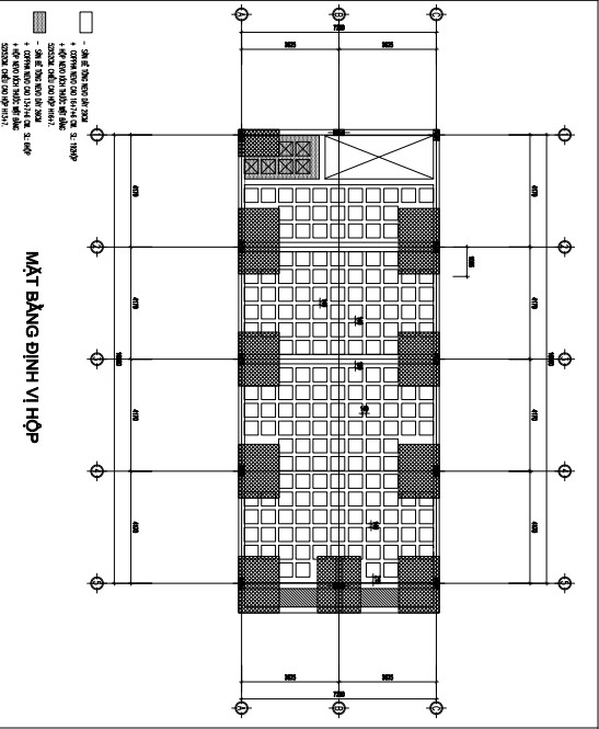
.jpg)
Mặt bằng định vị hộp nhựa nhà 2 tầng tại Hải Phòng
>> Xem thêm: Thi công sàn hộp tại Hải Phòng ở đâu tốt?
Kết luận
Bố trí thép là yếu tố cốt lõi quyết định hiệu quả làm việc của sàn hộp nhựa. Việc bố trí thép sàn hộp nhựa nhà 2 tầng không chỉ cần đúng về số lượng mà quan trọng hơn là đúng vị trí và đúng nguyên lý làm việc của kết cấu. Nếu bạn đang tìm hiểu hoặc chuẩn bị thi công sàn hộp nhựa, hãy liên hệ với chúng tôi để được tư vấn chi tiết.
Địa chỉ: Số 126 Hoàng Ngọc Phách, Lê Chân, TP Hải Phòng
Hotline: 0904.140.582
Gmail: haithanhxaydung@gmail.com
Website: xaydunghaithanh.com
Sàn hộp nhựa là giải pháp thi công được ứng dụng phổ biến hiên nay. Tuy nhiên, hiệu quả thực tế của giải pháp này phụ thuộc rất lớn vào cách bố trí thép sàn...
Trong xu hướng xây dựng hiện đại, sàn phẳng không dầm đang được ứng dụng ngày càng rộng rãi. Tuy nhiên, có một số vấn đề kỹ thuật thường gặp trong thực tế thi c...
Khi bắt đầu thiết kế, nhiều chủ đầu tư thường băn khoăn sàn phẳng không dầm sử dụng khi nào để vừa tối ưu chi phí, vừa đảm bảo công năng lâu dài. Đây không chỉ ...
Hiện nay, hai phương án phổ biến nhất là sàn không dầm và sàn có dầm, mỗi loại đều có ưu nhược điểm riêng về chi phí, không gian và khả năng thi công...
Trong bối cảnh các công trình hiện đại như showroom, nhà xưởng, hội trường hay văn phòng, việc loại bỏ cột giữa để tạo không gian mở đang trở thành tiêu chuẩn m...
